Render Comparsion

 

Entity Relationship

Customize Output

SBGN ED Rendering  
PathVisio Rendering  
Table of Contents  
Image Width  
Url  

 

Table Of Contents

ER_Reference_Card   OR gate   absolute inhibition   absolute stimulation   binary-no-outcome   binary-with-perturbation-and-phenotype   cis   delay   existence_variable   implicit_xor   invisible node   location   outcome-dual   outcome-simplified   phosphorylation   ternary-interaction   ternary-with-cardinality   ternary-with-perturbation-and-phenotype   trans  

 

Reference PathVisio SBML Layout SBGN-ED

ER_Reference_Card

Reference Image Path Visio Image SBML Layout Image SBGN ED Image

OR gate

Reference Image Path Visio Image SBML Layout Image SBGN ED Image

absolute inhibition

Reference Image Path Visio Image SBML Layout Image SBGN ED Image

absolute stimulation

Reference Image Path Visio Image SBML Layout Image SBGN ED Image

binary-no-outcome

Reference Image Path Visio Image SBML Layout Image SBGN ED Image

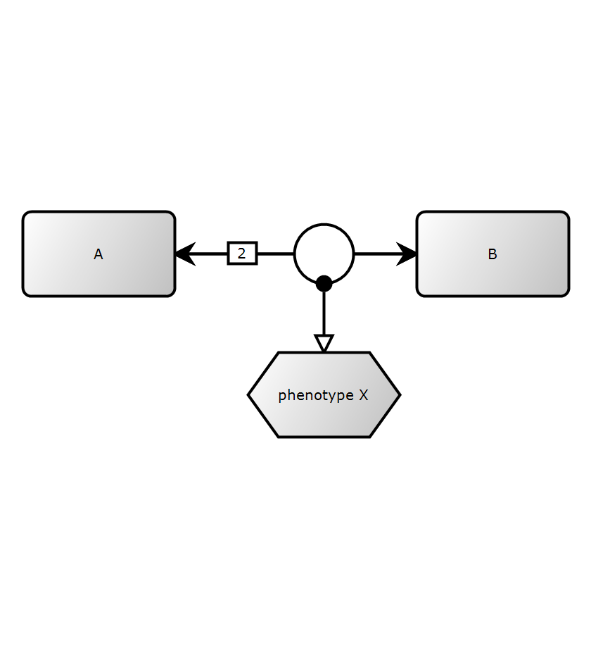
binary-with-perturbation-and-phenotype

Reference Image Path Visio Image SBML Layout Image SBGN ED Image

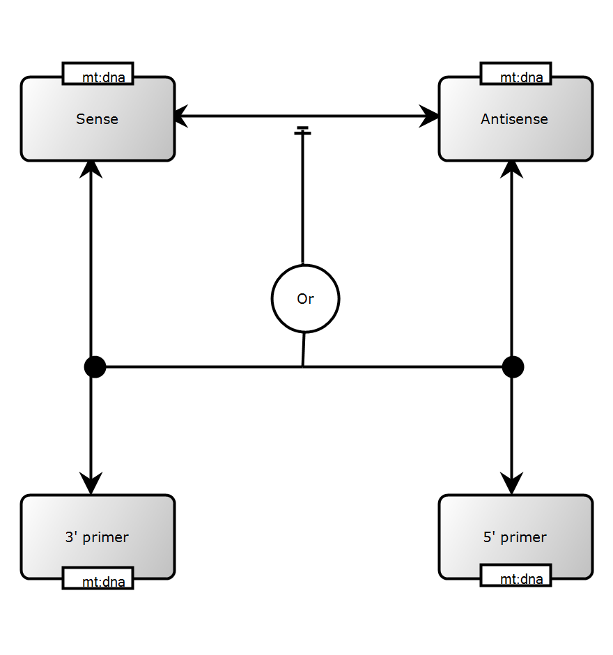
cis

Reference Image Path Visio Image SBML Layout Image SBGN ED Image

delay

Reference Image Path Visio Image SBML Layout Image SBGN ED Image

existence_variable

Reference Image Path Visio Image SBML Layout Image SBGN ED Image

implicit_xor

Reference Image Path Visio Image SBML Layout Image SBGN ED Image

invisible node

Reference Image Path Visio Image SBML Layout Image SBGN ED Image

location

Reference Image Path Visio Image SBML Layout Image SBGN ED Image

outcome-dual

Reference Image Path Visio Image SBML Layout Image SBGN ED Image

outcome-simplified

Reference Image Path Visio Image SBML Layout Image SBGN ED Image

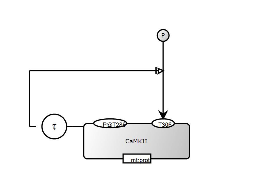
phosphorylation

Reference Image Path Visio Image SBML Layout Image SBGN ED Image

ternary-interaction

Reference Image Path Visio Image SBML Layout Image SBGN ED Image

ternary-with-cardinality

Reference Image Path Visio Image SBML Layout Image SBGN ED Image

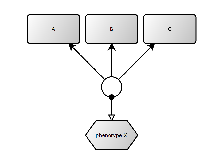
ternary-with-perturbation-and-phenotype

Reference Image Path Visio Image SBML Layout Image SBGN ED Image

trans

Reference Image Path Visio Image SBML Layout Image SBGN ED Image